Excel RSQ 函数
作者:互联网
2026-04-13
RSQ 函数返回皮尔逊乘积矩相关系数(r)2)的平方,用于两组给定数值。

语法
=RSQ()known_ys, known_xs)
参数
- known_ys(必需):一组数据点的数组或区域。
- known_xs(必需):一组数据点的数组或区域。
返回值
RSQ 函数返回数值结果。
函数说明
- 参数可以是以下任意类型:
- 数字;
- 包含数字的名称、数组或引用。
- 直接输入到参数列表中的逻辑值以及其他可转换为数字的值都会被计入。
- 如果引用了文本或空单元格作为参数,这些值将会被忽略。
- 当 #N/A 错误发生时,RSQ 表示 known_ys 和 known_xs 的数据点数量不一致。
- 当 #DIV/0! 错误发生时,RSQ 返回:
- known_ys 和 known_xs 为空或仅含一个数据点;
- 所提供的一个或两个数组中的数值标准差为零。
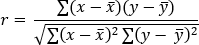
- 皮尔逊乘积矩相关系数(r,注意 RSQ 返回的是 r)2)的公式如下:

其中,x 和 y 分别表示两组数值数组的样本均值。
示例
以下表为例,如需获取表中两组数值的皮尔逊乘积矩相关系数的平方,请在结果单元格中复制或输入以下公式,然后按 Enter 按下键即可获取结果。
=RSQ()B6:B12,C6:C12)

相关标签:
Excel
相关推荐
专题
+ 收藏
+ 收藏
+ 收藏
+ 收藏
+ 收藏
+ 收藏
最新数据
相关文章
Microsoft Excel:通过 API 实现电子表格自动化 - Openclaw Skills
04/16
Excel / XLSX: 专业电子表格自动化 - Openclaw Skills
04/16
Excel 周报:Power Query 报告 - Openclaw Skills
04/16
xlsx-cn: 高级 Excel 电子表格处理 - Openclaw Skills
04/16
xlsx-pro: 专业 Excel 自动化与财务建模 - Openclaw Skills
04/16
电子表格:Excel 和 Google 表格自动化 - Openclaw Skills
04/16
自动化 Excel:电子表格自动化与数据处理 - Openclaw Skills
04/16
CSV 转 Excel 转换器:专业格式化与多工作表支持 - Openclaw Skills
04/16
考勤表生成器:自动化人力资源 Excel 报表 - Openclaw Skills
04/16
如何在 Excel 中根据多个条件查找并返回最大值?
04/16
AI精选
