阿里通义千问开源新一代原生多模态大模型Qwen3.5
作者:互联网
2026-03-24
Qwen3.5作为新一代多模态大模型,以其创新的混合架构和卓越性能重新定义了AI边界。该模型不仅参数规模惊人,更通过多项技术突破实现了高效部署与多模态统一处理。
Qwen3.5核心特性
- 革命性架构设计:结合Gated Delta Networks与稀疏混合专家技术,3970亿参数仅需激活170亿即可运行。
- 跨模态处理能力:采用M-RoPE与3D位置编码技术,原生支持文本、图像、视频的联合处理。
- 多语言支持:语言覆盖从119种扩展至201种,词表容量提升至25万级别。
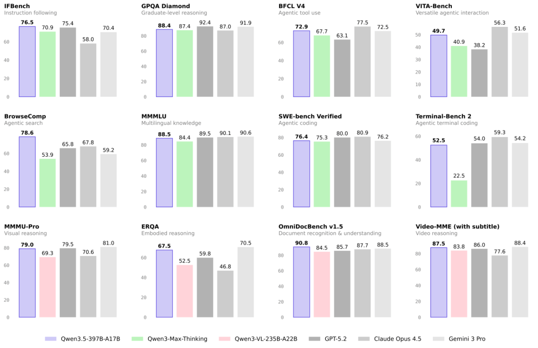
- 卓越性能表现:在MMLU-Pro、GPQA等权威评测中超越GPT-5.2和Claude 4.5等顶尖模型。

Qwen3.5技术亮点
- 混合注意力机制:创新融合线性与稀疏注意力,实现计算资源最优分配。
- 高效MoE设计:512个路由专家中仅激活10个,推理成本降低60%以上。
- 先进训练技术:异构并行框架结合FP8混合精度,显存占用减少50%。
- 强化学习优化:异步RL框架实现端到端加速3-5倍,支持全尺寸模型训练。

Qwen3.5获取方式
- 开源模型库:https://huggingface.co/collections/Qwen/qwen35
- 代码仓库:https://github.com/QwenLM/Qwen3.5
Qwen3.5应用方案
- 云端API调用:通过标准接口以每百万Token 0.8元的成本接入服务。
- 本地化部署:支持从开源平台获取权重,在消费级硬件上运行。
- 智能体开发:内置工具调用与任务规划能力,适用于自动化流程构建。
- 长文本处理:原生支持最高1M上下文的复杂文档分析与推理。
Qwen3.5价值优势
- 极致性价比:API价格仅为同类产品的1/15至1/18。
- 开源可商用:基于Apache 2.0协议,支持全量微调与二次开发。
- 多场景适配:提供0.8B至397B多种规格,满足从移动端到云端的不同需求。
Qwen3.5行业应用
- 全球化客服系统:支持201种语言的智能对话与问题解答。
- 创意内容生产:辅助完成多语言文案创作与视觉内容生成。
- 软件开发支持:提供从代码生成到项目维护的全流程协助。
- 智能视觉分析:实现图像识别、文档解析等专业级视觉任务。
Qwen3.5通过技术创新与实用设计,为AI领域带来突破性进展。其卓越性能与亲民价格,使其成为开发者和企业的最佳选择。
相关标签:
AI工具
AI项目和工具
相关推荐
专题
+ 收藏
+ 收藏
+ 收藏
+ 收藏
+ 收藏
最新数据
相关文章
NanoClaw 开源轻量级个人AI助手 安全可靠的OpenClaw替代方案
03/30
MonsterClaw 采用 OpenClaw 技术打造的本地化AI运行平台
03/30
TinyClaw 由TinyAGI推出的开源轻量级多智能体协作框架
03/30
携程酒店业务借助NebulaGraph实现月均风控止损逾百万元
03/30
稀宇科技开源MiniMax Office Skills生产级办公文档引擎
03/27
ToClaw由ToDesk打造的专业定制AI智能体
03/26
TypeNo 免费开源的中文AI语音输入法 无需配置直接使用
03/26
Sub2API 开源人工智能API中转网关平台 具备多账户管理功能
03/26
阿里通义推出视频生成音频框架PrismAudio
03/26
Luma AI发布Uni-1模型实现图像理解与生成一体化
03/25
AI精选
