Excel IMPOWER 函数
作者:互联网
2026-04-13
IMPOWER 函数可返回指定复数的幂。

语法
IMPOWER()inumber, number)
参数
- Inumber(必填):需要进行幂运算的复数。
- Number(必需):要将复数进行幂运算时所用的指数,可以采用以下任意一种形式:
备注
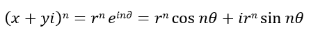
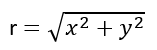
1. #VALUE!错误出现于符合以下任一条件时:-——“inumber”为逻辑值;-——“number”为非数值类型。2. #NUM!错误出现于“inumber”无法识别为复数时。3。IMPOWER 函数的公式如下:



返回值
该函数以文本形式返回复数。
示例
如下表所示,若需将 B 列中的复数按照 C 列中指定的幂次进行运算,可参考以下方法使用 IMPOWER 函数。

选中一个单元格(如本例中的 D6),输入下方公式并按下 Enter 键,即可获得首个结果。选中该结果单元格后,向下拖动其自动填充柄即可获取其他结果。
=IMPOWER(B6,C6)

注意:
1)复数和幂可以直接输入公式中。D6 中的公式可更改为:=IMPOWER("4+2i",2)
提示:复数需用双引号括起来。2)IMPOWER 函数仅支持小写“i”和“j”。相关标签:
Excel
相关推荐
专题
+ 收藏
+ 收藏
+ 收藏
+ 收藏
+ 收藏
+ 收藏
最新数据
相关文章
Microsoft Excel:通过 API 实现电子表格自动化 - Openclaw Skills
04/16
Excel / XLSX: 专业电子表格自动化 - Openclaw Skills
04/16
Excel 周报:Power Query 报告 - Openclaw Skills
04/16
xlsx-cn: 高级 Excel 电子表格处理 - Openclaw Skills
04/16
xlsx-pro: 专业 Excel 自动化与财务建模 - Openclaw Skills
04/16
电子表格:Excel 和 Google 表格自动化 - Openclaw Skills
04/16
自动化 Excel:电子表格自动化与数据处理 - Openclaw Skills
04/16
CSV 转 Excel 转换器:专业格式化与多工作表支持 - Openclaw Skills
04/16
考勤表生成器:自动化人力资源 Excel 报表 - Openclaw Skills
04/16
如何在 Excel 中根据多个条件查找并返回最大值?
04/16
AI精选
