Excel IMDIV 函数
作者:互联网
2026-04-14
IMDIV 函数返回两个给定复数在 x + yi 或 x + yj 文本格式下的商,即第一个复数除以第二个复数的结果。

语法
=IMDIV()inumber 1, inumber 2)
参数
- inumber 1(必需): 需要进行除法运算的复数。
- inumber 2(必需): 用于作为除数的复数。
返回值
IMDIV 函数以文本格式返回复数值。
函数说明
- inumber 1 和 inumber 2 可以为以下任意一种形式:
- 实部为 0 的实数,例如,1 也可以表示为复数 1+0i;或者虚部为 0 的纯虚数,例如,i 也可以表示为复数 0+1i。
- 指代复数的一个单元格引用;
- 用双引号括起的复数形式。
- COMPLEX 函数可返回 inumber 1 和 inumber 2,该函数能够将实部和虚部系数转换为复数。
- IMDIV 将返回 #NUM!错误,如果:
- inumber 1 或 inumber 2 未被识别为包含小写 i 或 j(虚数单位 iota)的复数;
- inumber 1 和 inumber 2 的后缀(i 或 j)不同,例如 4+3 i 和 5+2 j。
- 如果 inumber 1 或 inumber 2 为逻辑值,IMDIV 将返回 #VALUE!错误。
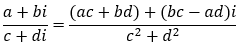
- 两个复数(a+bi 和 c+di)相除,计算方式为:

示例
若要获取下表首行的两个复数的商,请在上面的单元格中复制或输入下方公式,并按下 Enter 按下回车键即可获得结果。随后,您可以拖动结果单元格右下角的填充柄,将公式快速应用到下方的其他单元格。
=IMDIV()B3,C3)

此外,您还可以如下面所示,直接在公式中输入实际的复数。请注意,复数需用双引号括起来:
=IMDIV()"3+4i","-8+4i")
相关标签:
Excel
相关推荐
专题
+ 收藏
+ 收藏
+ 收藏
+ 收藏
+ 收藏
+ 收藏
最新数据
相关文章
如何在 Excel 中判断某个时间是否介于两个指定时间之间?
04/14
如何在 Excel 中设置,当特定单元格为空时禁止保存文件?
04/14
如何在 Excel 中向表格左侧插入一列?
04/14
如何在 Excel 中突出显示特定数字的倍数?
04/14
如何在 Excel 中按特定单词对列表进行排序?
04/14
如何在 Excel 中批量更改多个单元格的边框颜色?
04/14
如何在 Excel 中快速清除字符串内的所有 HTML 标签?
04/14
将多个工作簿中的同名汇总工作表合并为一个
04/14
如何在 Excel 中为图表边框设置圆角?
04/14
如何在 Excel 中创建人口金字塔图表?
04/14
AI精选
